通过选择性掺杂或相位调制对二维(2D)材料进行结构和能带工程设计,为光电器件设计提供了重要的机会,然而不同相结构的过渡金属硫族化合物(TMD)形成的合金极其容易产生相分离并造成结构重构,因此,如何构筑相结构可调的二维TMDS合金成为二维材料领域的一大重要挑战。
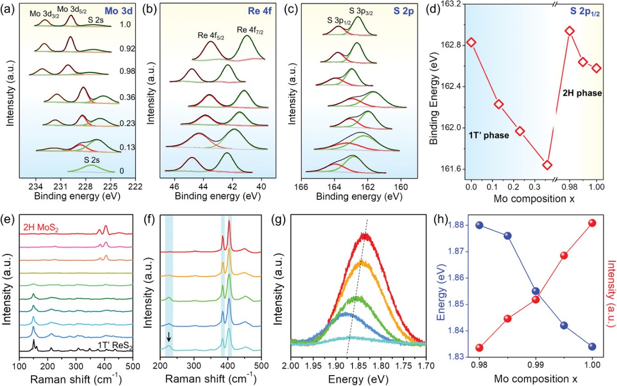
近日,我院徐华教授、石家庄铁道大学司华艳教授以及日本国家先进工业科学技术研究院(AIST)Hong Jinhua博士(共同通讯作者)等合作通过化学气相沉积方法(CVD)生长了具有组分和相结构可调的高质量MoxRe1-xS2合金,并探索了其新颖的能带结构和光电性能。首先,通过调控它们的生长热力学,成功地抑制了相分离和结构重建,实验发现所制备的MoxRe1-xS2合金具有均匀的成分、相结构和晶体取向。X射线光电子能谱分析和第一性原理计算揭示MoxRe1-xS2合金中Re/Mo的掺杂会引起费米能级上移/下移、产生新的电子态并形成新的“子带隙”。特别是,在结构转变介于1T'和2H相之间的MoxRe1-xS2合金中发现了很强的能带弯曲效应。此外,这些1T'相合金显示出从n型过渡到双极性再到p型的可调导电行为,而2H合金中则产生了新奇的“双极性”电子导电行为。本文的研究结果突出了在单相2D合金中不存在的独特合金效应,并为构建新型电子和光电器件提供了可行性。
相关研究成果以题为“Strong Band Bowing Effects and Distinctive Optoelectronic Properties of 2H and 1T' Phase‐Tunable MoxRe1–xS2 Alloys”发表在知名期刊Adv. Funct. Mater.上。石家庄铁道大学硕士研究生邓祺鑫和我院博士研究生李晓波为论文的并列第一作者。我院徐华教授、石家庄铁道大学司华艳教授、日本国家先进工业科学技术研究院Hong Jinhua博士为共同通讯作者。
论文链接:https://onlinelibrary.wiley.com/doi/10.1002/adfm.202003264

